suncitygroup太阳成集团(中国)-tyc522cc
学校首页
首页
学院概况
学生工作
教育教学
校企合作
就业信息
联系我们
新闻动态
通知公告
政策公开
校园模范
学院简介
学院领导
校园风光
团学工作
新生须知
学生管理
毕业生须知
教学动态
专业介绍
合作企业
校园模范
当前位置:
首页
>>
校园模范
>>
正文
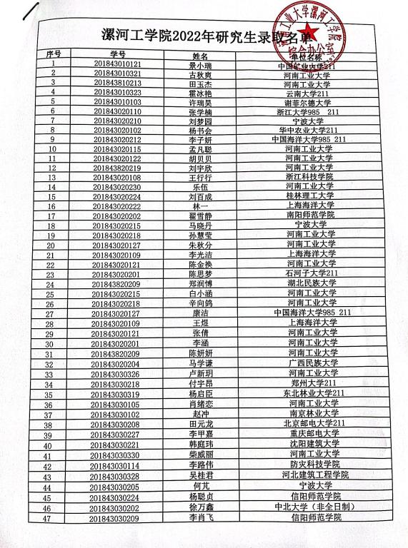
太阳成集团2022年研究生录取名单
发布时间:2022-05-10 编辑: 点击:[]
上一条:
太阳成集团荣获十四届“高教杯”河南省大学生先进成图技术创新大赛机械类团体特等奖
下一条:
喜报:太阳成集团学子考研成绩优异,张学楠同学拟被浙江大学录取
【
关闭
】